2024년 상반기 노임단가(노무비)
- 카테고리 없음
- 2024. 1. 9.
인건비는 해가 지날때마다 오를수밖에 없습니다. 2024년 노임단가는 2023년보다 얼마나 더 올랐는지 한국표준품셈정보원에서 발표한 2024년 노임단가를 아래와 같이 정리하였습니다.
목 차
1. 노임단가란?
2. 시중 노임단가 적용기준(법령)
3. 2024년 노임단가(상반기)
4. 2024년 노임단가 건설업실태보고서
5. 2024년 노임단가 조사기준



노임단가란?
노임단가는 국가계약법상의 예정가격을 작성할 시 노무비가 얼마나 되는지 산출하기 위하여 적용하는 단가이며, 각 직종별로 단가는 상이합니다.
시중 노임단가 적용기준(법령)
시중에 사용하는 노임단가는 법령에 의거 적용이 됩니다. 국가계약법과 지방계약법에 각각 명시가 되어 있습니다. 먼저, 국가계약법에 시행규칙 제7조에 나와있는 법령을 보면 아래와 같습니다.

제7조제1항제1조에 통계법 제15조에 따른 지정기관이 조사하여 공표한 가격으로 산정한다고 나와있습니다. 다음 지방계약법 시행규칙 법령을 보면 아래와 같습니다.

제7조제1항제1조에 통계법 제15조에 따른 지정기관이 조사하여 공표한 가격으로 산정한다고 국가계약법과 제7조는 같이 적용이 되어 나와 있습니다.



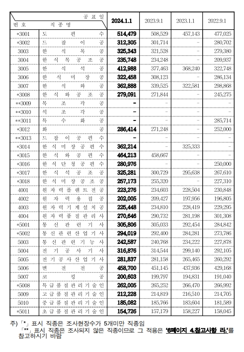
2024년 노임단가(상반기)
2024년 노임단가(상반기)가 직종별로 아래와 같이 표로 정리되어 있습니다. 적용일은 2024년 1월 1일부터 적용입니다.




2024년 노임단가 다운로드를 원하시면 아래파일을 다운받으시면 됩니다.
2024년 노임단가 건설업실태보고서
2024년 건설업실태보고서를 아래와 같이 첨부하니 필요하신분들은 다운받으시면 됩니다.



2024년 노임단가 조사기준
2024년 노임단가의 조사한 기준을 알아보면 아래와 같습니다.
| 구 분 | 내 용 |
| 조사 기준기간 | 2023년 9월 1일 ~ 2023년 9월 30일 |
| 조사 실시기간 | 2023년 10월 1일 ~ 2023년 10월 31일 |
| 조 사 범 위 | 전국 2,000개의 건설현장 · 공사직종 : 건설공사업(종합 또는 전문) 등록업체의 현장 · 전기직종 : 전기공사업 등록업체의 현장 · 문화재직종 : 문화재 보수 시공업체의 현장 · 원자력직종 : 원자력공사 시공업체의 현장 · 정보통신직종 : 정보통신공사업 등록업체의 현장 |
오늘은 위와 같이 노임단가가 무엇인지,2024년 노임단가, 2024년 노임단가 적용기준(법령), 2024년 노임단가(상반기), 2024년 노임단가 조사기준 등에 대해 알아보았습니다. 많은분들께 도움이 되었으면 좋겠습니다.
함께보면 좋은글
2024 연봉 실수령액(실수령액표,연봉계산기,최저임금) 등 총정리
오늘은 사실 연봉에서 세전과 세후 공제액등이 얼마나 되는지 사실 잘 모르기 때문에 한 눈에 알아보고 받는 연봉에 따른 실수령액을 표로 준비해 봤습니다. 보시고 도움되셨으면 좋겠습니다.
aer.albongstyle.co.kr
연봉별 1억 모으는데 걸리는 시간,가구별 최저생계비 등 정리
화폐가치가 갈수록 떨어진다고 하더라도 1억이라는 돈을 모으는 것은 굉장히 힘든 일입니다. 특히, 대기업이나 연봉이 높은 직장인이 아닌 평범한 직장인들은 더욱 힘이 듭니다. 그렇지만 시간
ser.albongstyle.co.kr
대출이자계산기,대출이자계산법,대출의 종류 등 총정리
자본주의인 현대사회를 살아가면서 집을 매매하거나 전세, 자동차를 구입하거나 장사를 하기 위해 가게를 차리거나 등등 대출은 돈이 정말 넉넉하게 많지 않는 이상 누구나 한번쯤은 해봤을거
aer.albongstyle.co.kr
관세(관부가세) 계산기 납부기한 품목별 관세율 등 총정리
해외물품을 구매할때는 관부가세를 내어야 합니다. 보통 내가 반입하는 물건이 어떤 물건인지 ~ 그 물건에 대한 관부가세가 얼마인지 ~ 알아보지 않고 맞는지 틀린지 모른채로 해외물품을 구매
aer.albongstyle.co.kr
소액생계비대출 신청방법 지원대상 등 총정리
현재 소득이 없거나 소득이 너무 적어 생계에 어려움을 겪는 많은분들을 위해 소액생계비를 대출해주는 제도를 소개해드릴려고 합니다. 서민금융진흥원(국가기관)에서 진행하므로 안심하고 믿
aer.albongstyle.co.kr